KDS 14 20 52에서는 인장력을 부담하는 이형철근의 정착길이를 두 가지 방법 중 하나를 사용할 수 있다고 규정하고 있습니다. 보통 간편식과 상세식이라고 구분합니다. 여기서는 상세식을 살펴보겠습니다.
간편식은 다음 글을 참고하시기 바랍니다.
■ [이음과 정착] - 인장 이형철근의 정착길이 - 간편식
상세식 4.1-2
상세식은 다음과 같습니다.

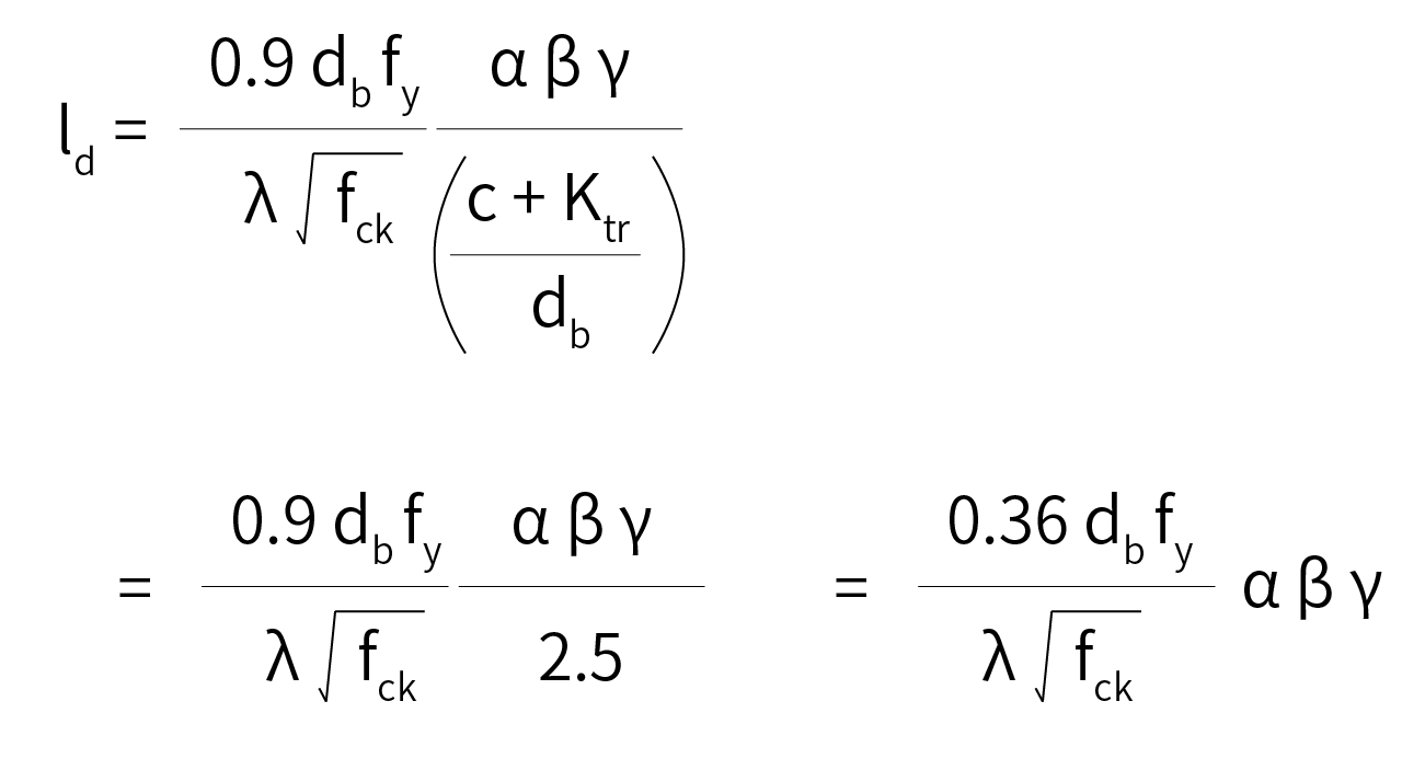
간편식과 비교해보면 앞의 계수가 0.6에서 0.9로 바뀌었고, 오른쪽 아래쪽에 식이 추가된 것을 알 수 있습니다. 그럼 오른쪽 아래쪽에 추가된 부분을 무엇일까요?

여기서 c는 철근 간격 또는 피복두께에 관련된 치수이고, Ktr은 횡방향 철근지수를 나타냅니다. 이 상세식은 간편식보다 정착길이에 영향을 미치는 모든 요소를 반영한 것이라고 할 수 있겠습니다.
여기서 Ktr은 다음과 같이 구합니다.

Ktr은 정착되는 철근을 구속할 수 있는 횡방향 철근이 배치되어 있을 때 그 영향 요인을 고려해주는 것입니다. 그런데 다행스럽게도 설계기준에서는 횡방향 철근이 배치되어 있더라도 설계를 간편하게 하기 위해 0으로 계산할 수 있다고 규정하고 있습니다. 그럼 Ktr에 0을 대입해 보겠습니다. 그럼 c/db만 남게 됩니다.
C값은 철근 중심으로부터 가장 작은 피복두께 또는 철근의 중심간 거리의 절반을 나타내는 값을 적용합니다. 보통 슬래브에서는 보처럼 철근을 촘촘하게 배열하지 않고 피복두께가 20이므로 D10철근이라고 하면 c/db = (20 +5)/10 = 2.5로 놓고 풀 수 있습니다. 이것을 원래 식에 대입해 보겠습니다.

이렇게 앞의 계수값이 0.36으로 작아집니다.
간편식의 계수가 0.6이었습니다. 이 간편식 4.1-1은 (c +Ktr)/db 항을 1.0 또는 1.5로 가정하여 구한 식입니다. (c +Ktr)/db는 최대 2.5까지 크게 할 수 있는데, 이처럼 철근 간격과 피복두께가 크고 횡방향 철근이 충분히 배열된다면 최대 1/2.5 = 40%까지 정착길이를 줄일 수 있습니다.
보와 기둥부재는 철근간격과 횡방향철근량이 일정한 값을 갖는다고 계산하기가 어렵습니다. 따라서 횡방향철근량을 고려할 필요가 없는 간편식을 사용할 수 밖에 없습니다.
■ [이음과 정착] - 인장 이형철근의 정착길이 - 간편식
보통 슬래브 철근에서 이 식을 적용할 수 있습니다. 그래서 정착길이를 구하는 표를 보면 슬래브철근과 일반철근을 나누어서 나타내는데, 슬래브철근은 이 상세식을 적용한 것이라고 볼 수 있습니다.
▶ [이음과 정착] - 표에서 정착길이나 이음길이를 찾는 방법
| 골조의 소성힌지구간과 이음 (1) | 2023.02.28 |
|---|---|
| 정착길이, 이음길이 참고표 (1) | 2023.01.09 |
| 표에서 정착길이나 이음길이를 찾는 방법 (5) | 2021.04.27 |
| 철근 용접 이음 - 가스 압접 (1) | 2021.04.20 |
| 일반철근과 상부철근(블리딩현상) (7) | 2021.04.19 |